担心工作忙没空带娃?
孩子写作业没人辅导?
缺少一个轻松、愉快的假期?
别着急
全省2025年暑假
“爱心托管班”即将启航
点位超过3800个!
“爱心托管班”是由团省委牵头负责的民生实事项目,主要依托社区(村)党群服务中心、青少年活动阵地等适宜少年儿童开展活动的场馆阵地,通过招募大学生等各类志愿者,为6至14岁少年儿童提供免费假期托管服务。根据服务时段分为暑假“爱心托管班”、寒假“爱心托管班”以及周末“爱心托管班”。
结合大学生“三下乡”“返家乡”社会实践活动,团团招募了来自省内外高校的近千支大学生志愿服务团队、2万余名大学生志愿者,精心准备了“德智体美劳”五育并举和安全自护等方面的课程。同时,还有来自中小学校的教师志愿者提供的学业辅导,企事业单位志愿者带来的专业课程,社区和社工机构志愿者带来的爱心陪伴等。
各市州
详细办班点位、具体报名方式
↓↓↓
第一批次
2025年6月30日(星期一)12:30—7月3日12:00(星期四)
第二批次
2025年7月21日(星期一)12:30—7月24日12:00(星期四)
家长可在“青春武汉”微信公众号首页点击“爱心托管”进入报名界面,按照操作指引完成报名信息录入。
详情可致电全市暑假“爱心托管班”(以下简称暑托班)服务热线12355及各团区委咨询电话。
2025年宜昌市暑假“爱心托管班”
拟开办点位一览表
2025年襄阳市暑假“爱心托管班”
拟开办点位一览表
襄城区
樊城区
襄州区
枣阳市
宜城市
老河口市
南漳县
保康县
谷城县
高新区
东津新区
1.报名时间
即日起,招满即止。
2.报名方式
请到附近的暑假“爱心托管班”建设点位现场报名或向各县(市、区)团委致电咨询。
3.联系方式
共青团丹江口市委员会
0719-5213032
共青团郧西县委员会
0719-6227372
共青团竹溪县委员会
0719-2726301
共青团竹山县委员会
0719-4225313
共青团房县委员会
0719-3224395
共青团张湾区委员会
0719-8522095
共青团茅箭区委员会
0719-8787702
共青团郧阳区委员会
0719-7233752
共青团经济开发区委员会
0719-8319886
2025年荆州市暑假“爱心托管班”
拟开办点位一览表
2025年荆门市暑假“爱心托管班”
拟开办点位一览表
- 沙洋县 -
- 钟祥市 -
- 京山市 -
- 东宝区 -
- 掇刀区 -
- 漳河新区 -
- 屈家岭管理区 -
2025年鄂州市暑假“爱心托管班”
拟开办点位一览表
2025年孝感市暑假“爱心托管班”
拟开办点位一览表
孝南区
汉川市
应城市
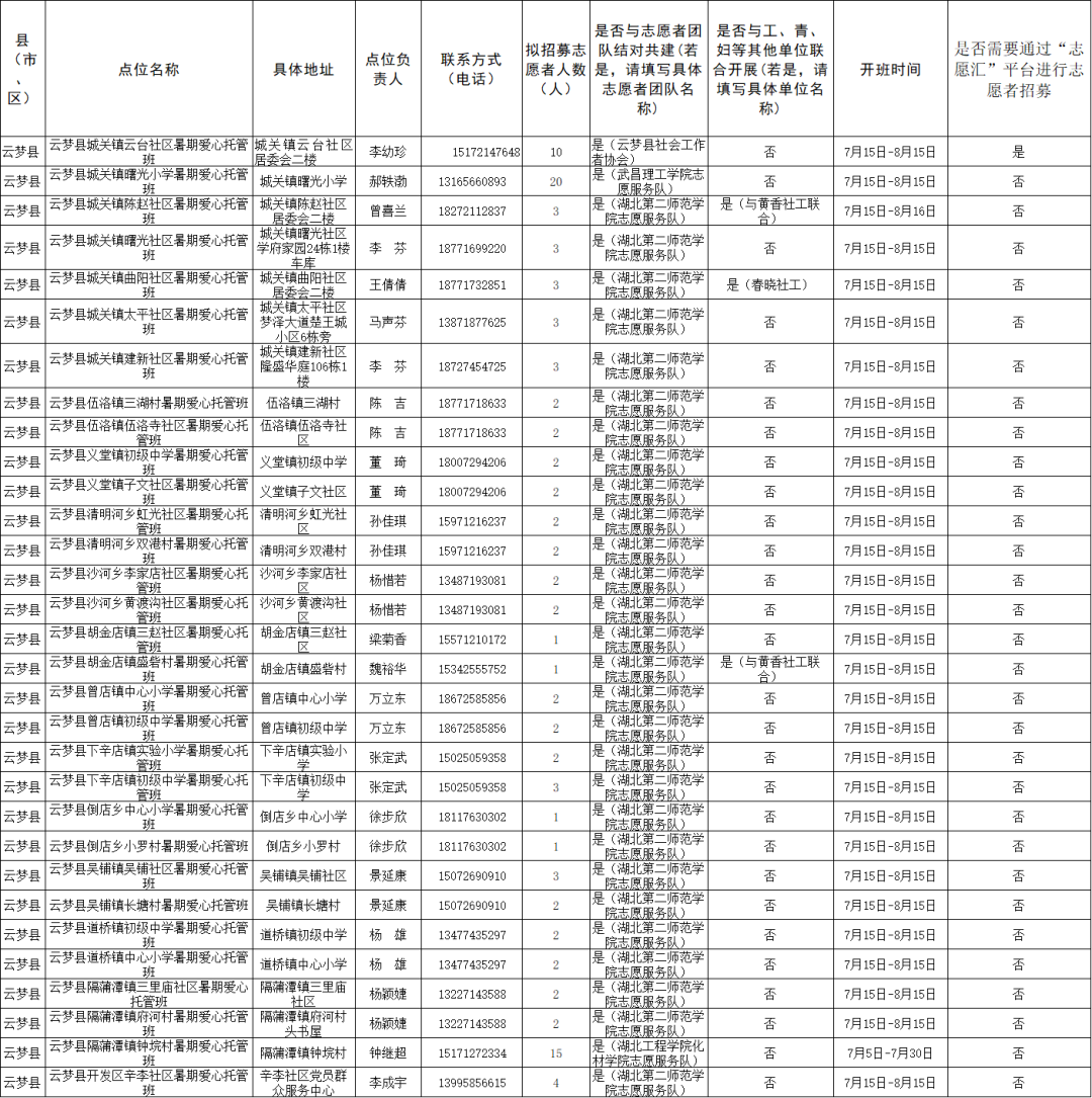
云梦县
安陆市
大悟县
孝昌县
高新区、临空区
联系方式
【团黄州区委】0713-8354933
【团团风县委】0713-6156096
【团红安县委】0713-5242493
【团麻城市委】0713-2950187
【团罗田县委】0713-5052123
【团英山县委】0713-7013557
【团浠水县委】0713-4233553
【团蕲春县委】0713-7222417
【团武穴市委】0713-6222768
【团黄梅县委】0713-3324645
2025年咸宁市暑假“爱心托管班”
拟开办点位一览表
2025年随州市暑假“爱心托管班”
拟开办点位一览表
2025年恩施州暑假“爱心托管班”
拟开办点位一览表
2025年仙桃市暑假“爱心托管班”
拟开办点位一览表
2025年天门市暑假“爱心托管班”
拟开办点位一览表
2025年潜江市暑假“爱心托管班”
拟开办点位一览表
2025年神农架林区暑假“爱心托管班”
拟开办点位一览表
来源:湖北发布、青春湖北、青春武汉、青春宜昌、青春襄阳、青春荆州、青春荆门、青春黄石、青春十堰、青春鄂州、青春孝感、青春黄冈、青春咸宁、青春随州、青春恩施州、青春仙桃、青春天门、青春潜江、青春神农架
