7月12日,广东省对提前批非军检院校及教师专项艺体类进行了投档。提前批非军检院校共投出考生1570人,其中普通类(历史)359人,普通类(物理)1211人;提前批教师专项艺体类共投出考生478人,其中体育类214人、音乐类131人、美术与设计类133人。
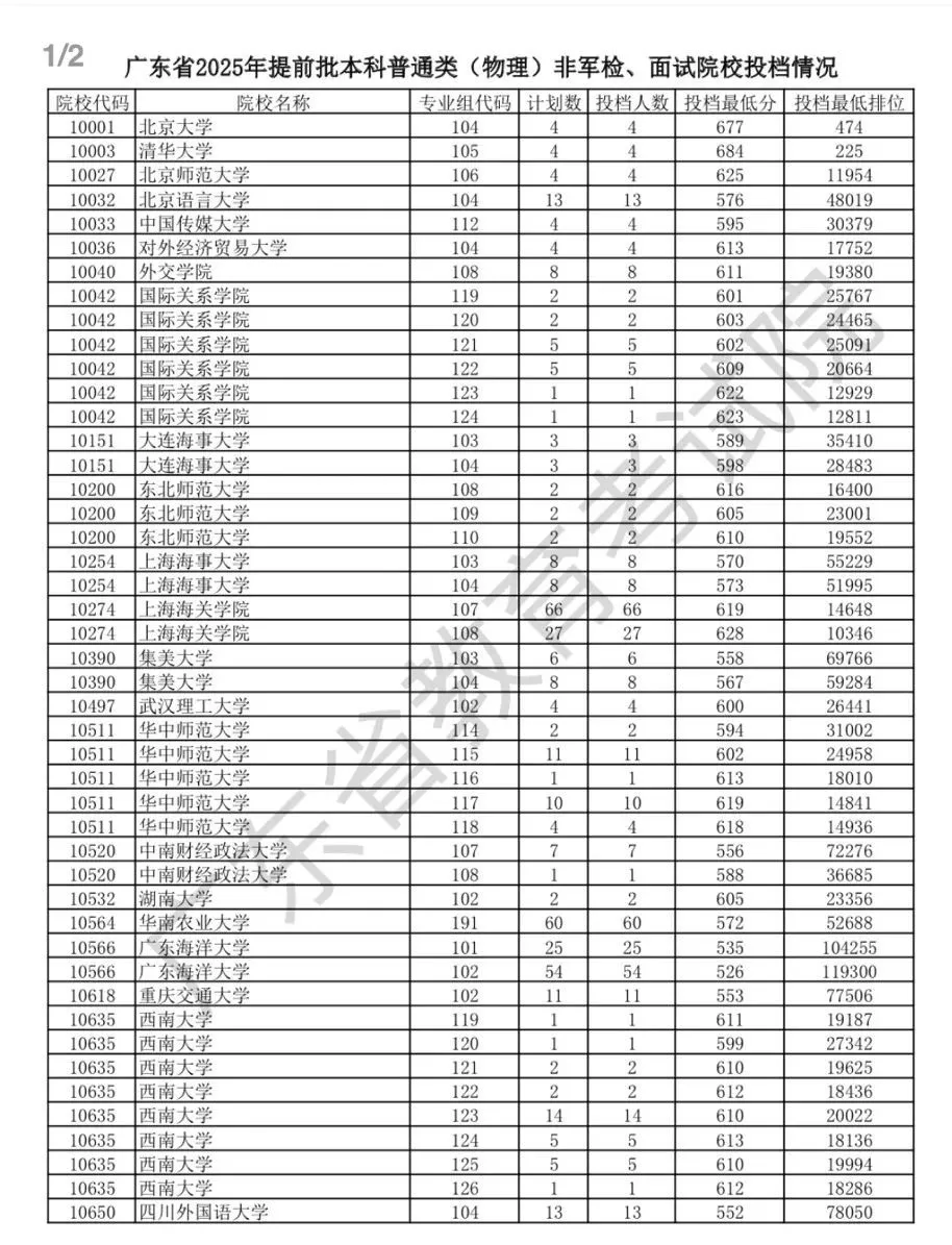
记者梳理发现,在物理类,清华大学投档线为684分,北京大学投档线为677分,香港科技大学(广州)最高投档线665分。历史类,清华大学投档线667分,北京大学投档线663分。
提前批军检院校、艺术类院校“统考+校考”类别和戏曲类省际联考的录取工作,于7月12日顺利结束。除个别军检院校有考生不服从专业调剂等原因退档,需参加征集志愿外,其他院校顺利完成招生计划。相关高校录取结果可按省教育考试院指引进行查询。
提前批教师专项普通类将于7月14日投档,请广大考生密切关注省教育考试院微信公众号,及时了解投档录取进程。
附件:
1.广东省2025年提前批本科体育类教师专项投档情况
2.广东省2025年提前批本科音乐类统考教师专项投档情况
3.广东省2025年提前批本科美术与设计类统考教师专项投档情况
4.广东省2025年提前批本科普通类(历史)非军检、面试院校投档情况
5.广东省2025年提前批本科普通类(物理)非军检、面试院校投档情况
请识别下方二维码查阅附件
