推荐
观点
时政
湖北
武汉
世相
环球
专题
极客圈
经济
城建
科教
健康
悠游
相亲
汽车
房产
消费
创意
文化
体育
娱乐
影像
帅作文
International
职教院
酒道
登录
|
极目新闻客户端
推荐
观点
时政
湖北
武汉
世相
环球
专题
极客圈
经济
城建
科教
健康
悠游
相亲
汽车
房产
消费
创意
文化
体育
娱乐
影像
帅作文
International
职教院
酒道
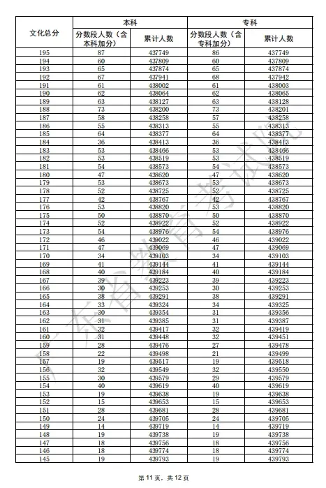
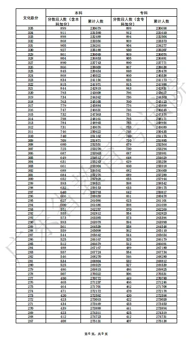
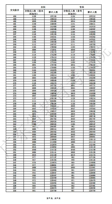
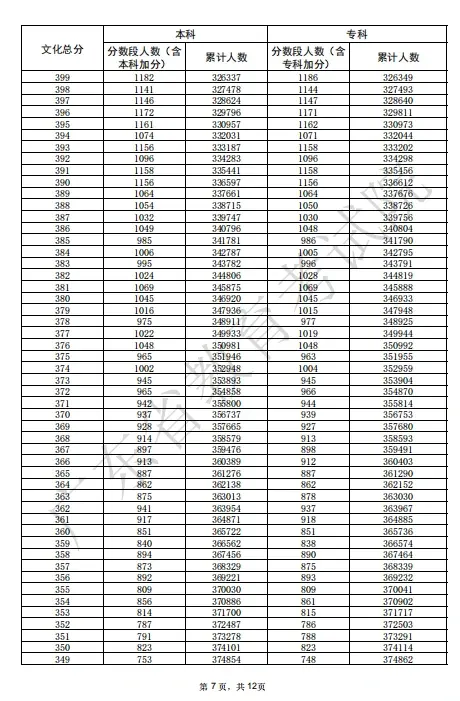
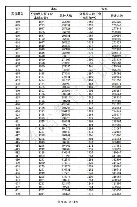
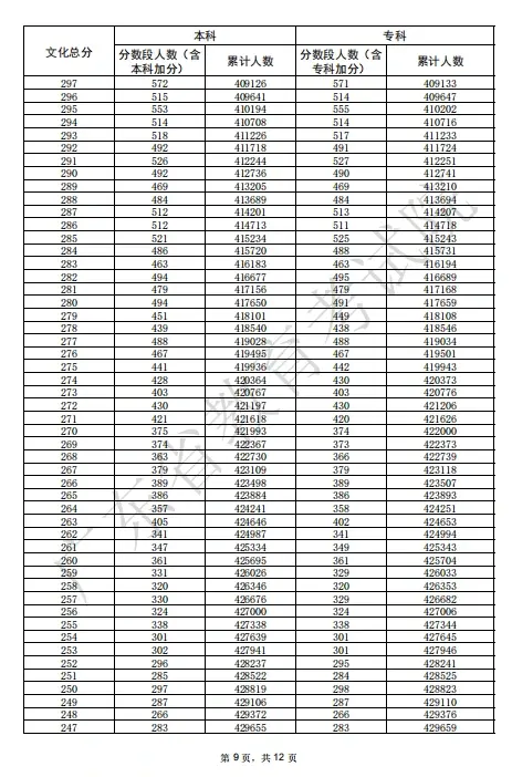
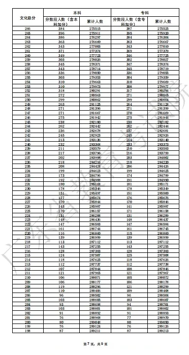
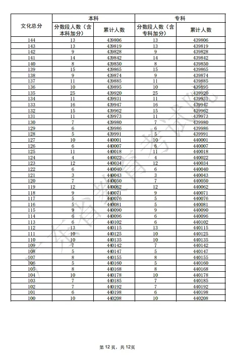
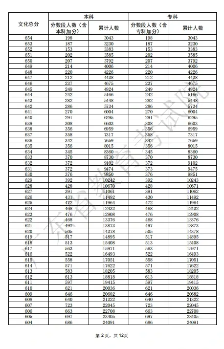
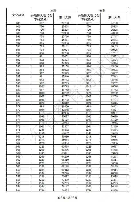
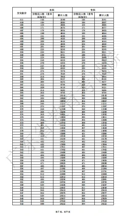
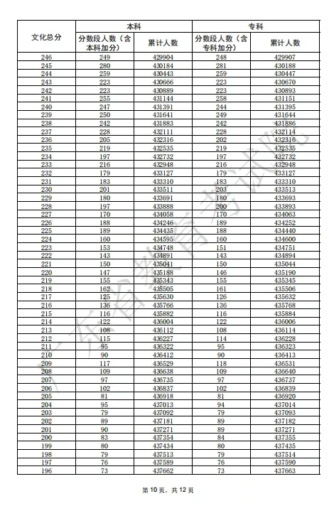
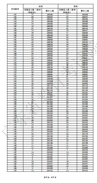
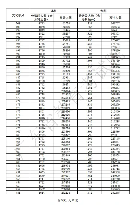
广东省2025年高考普通类分数段统计表(历史、物理)
广东省教育考试院
2025-06-26 19:41:25
阅读量:
(来源:广东省教育考试院)
责任编辑:叶晓英
相关新闻
极目新闻