推荐
观点
时政
武汉
湖北
世相
环球
专题
极客圈
经济
城建
科教
健康
悠游
相亲
汽车
房产
消费
创意
文化
娱乐
体育
影像
帅作文
International
登录
|
极目新闻客户端
推荐
观点
时政
武汉
湖北
世相
环球
专题
极客圈
经济
城建
科教
健康
悠游
相亲
汽车
房产
消费
创意
文化
娱乐
体育
影像
帅作文
International
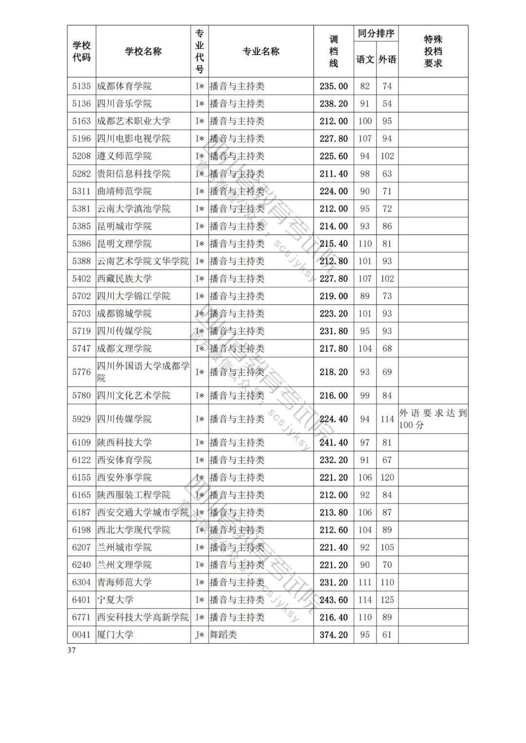
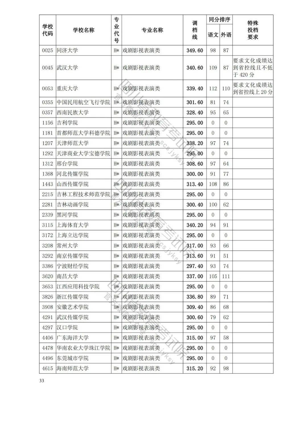
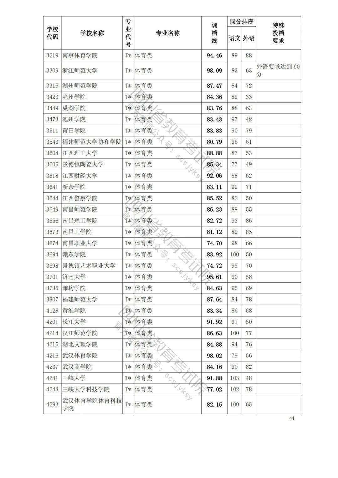
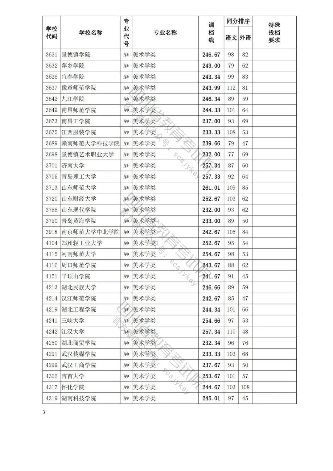
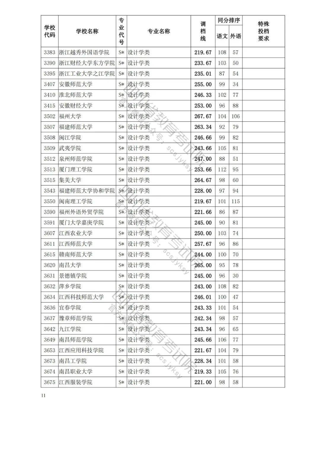
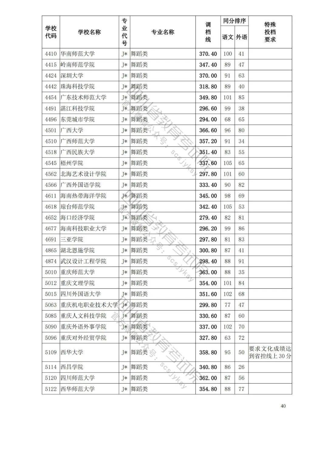
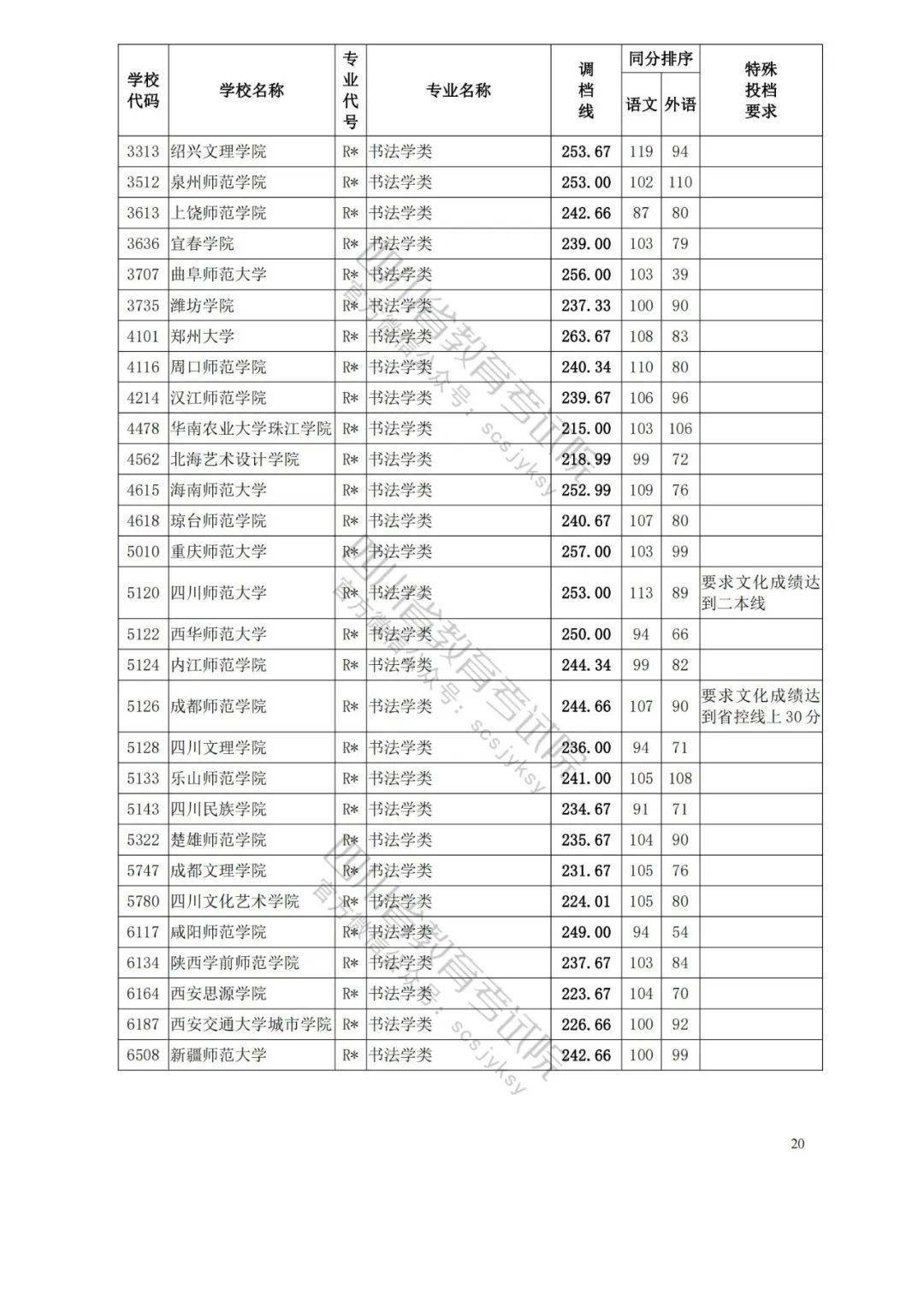
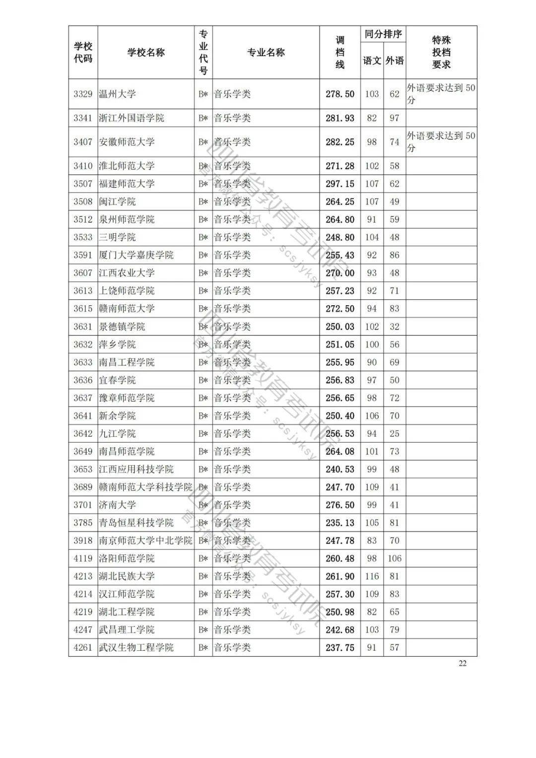
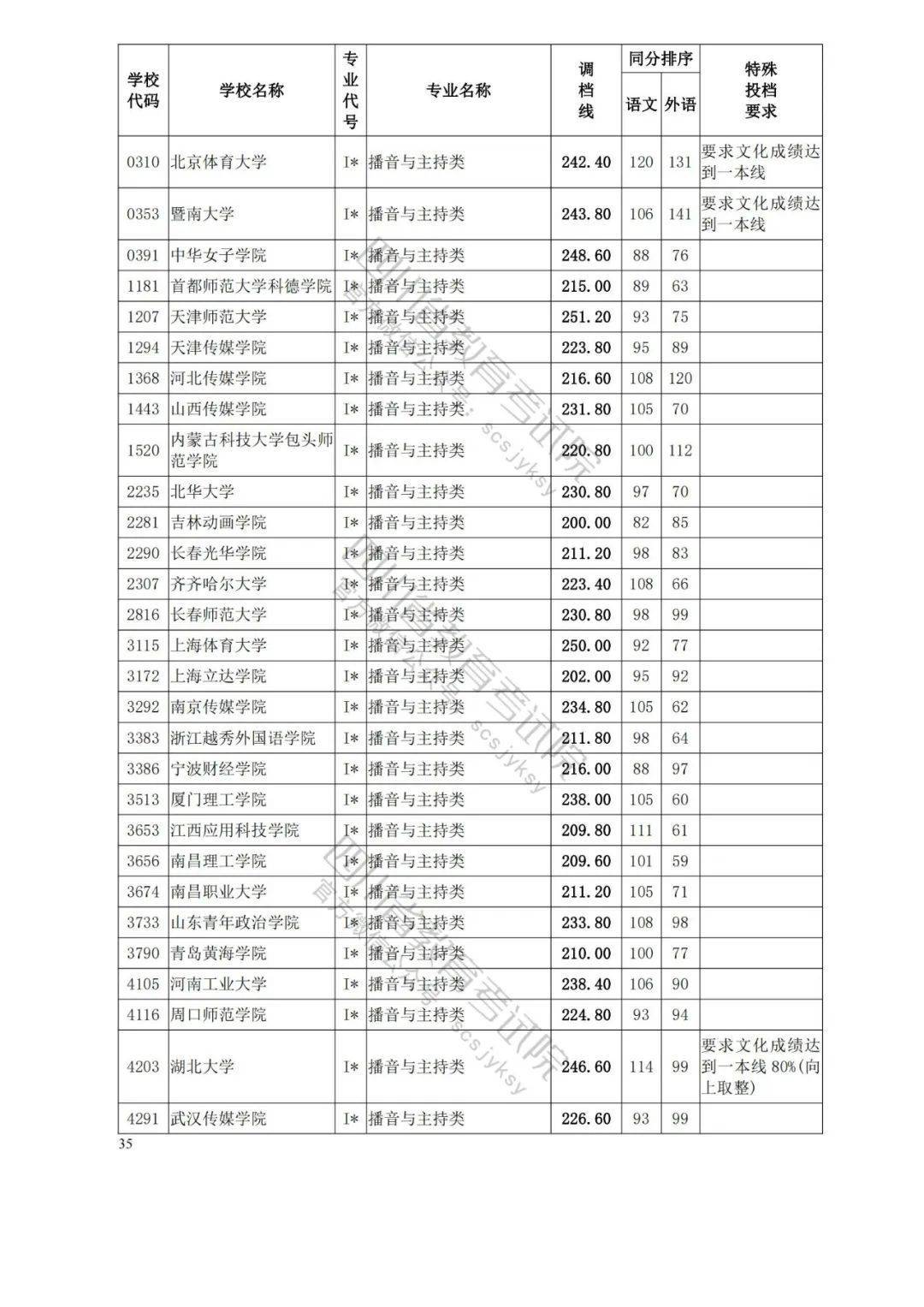
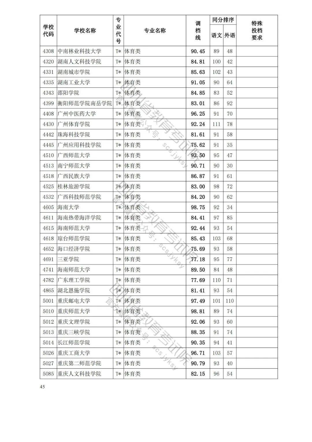
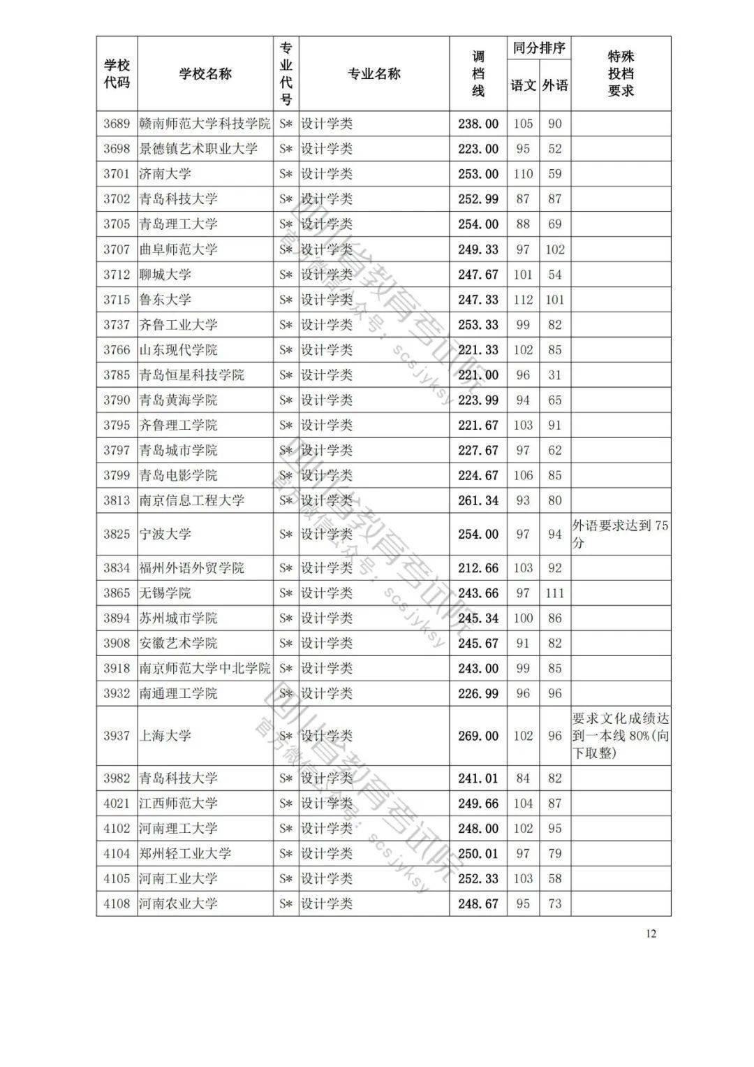
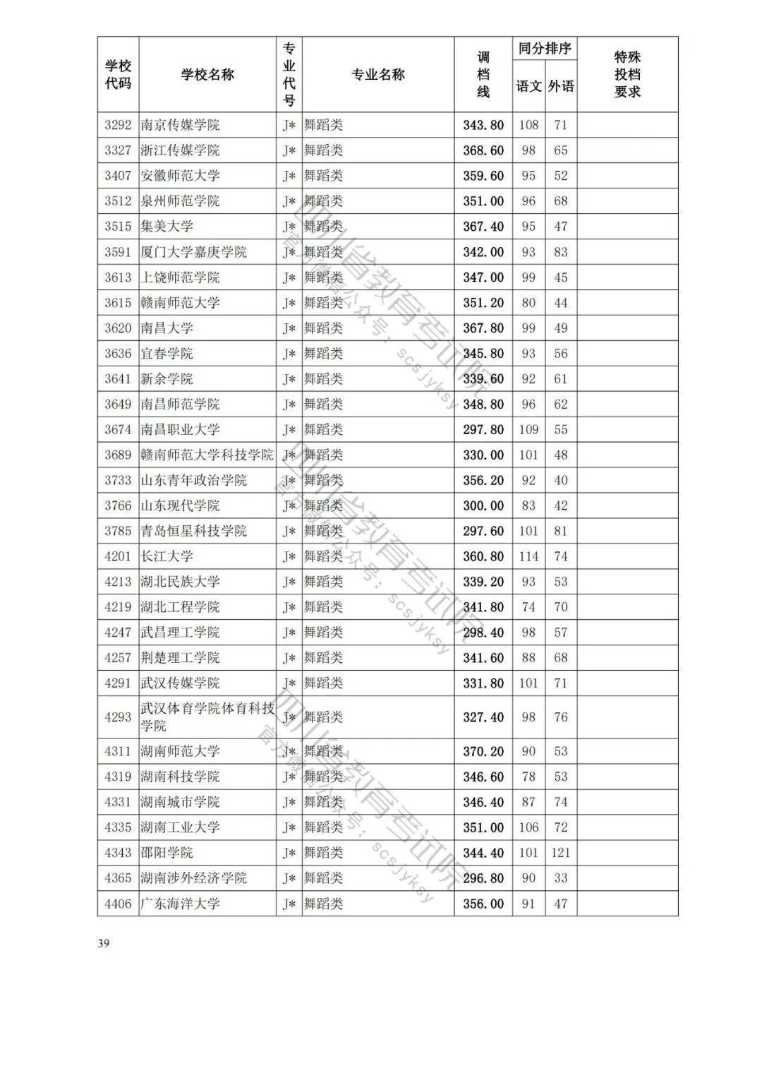
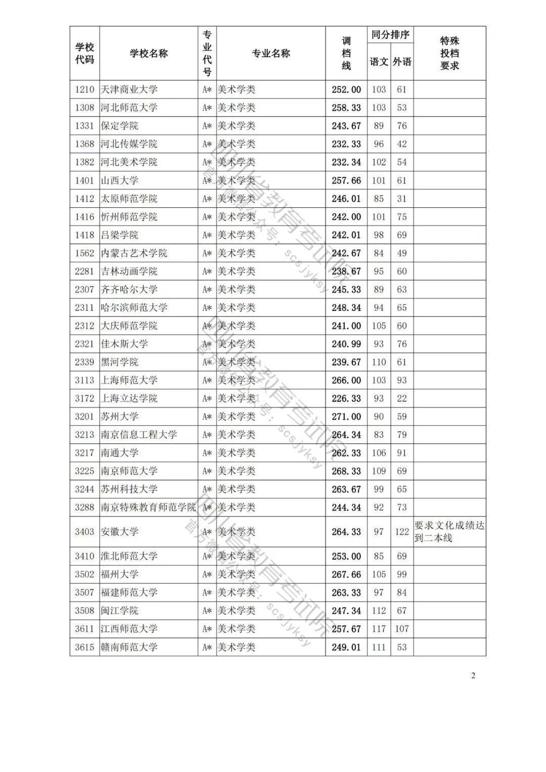
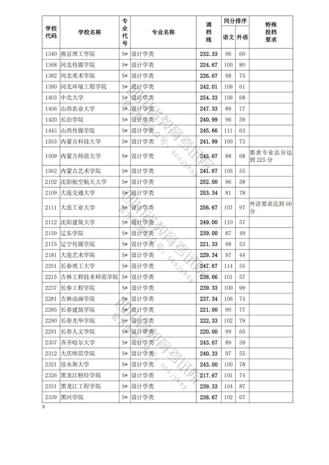
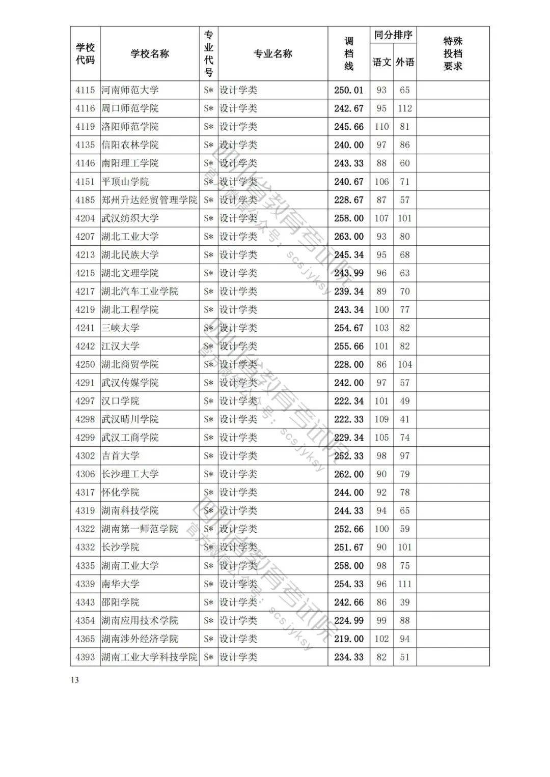
四川省2023年普通高等学校艺术体育类专业招生艺术类本科第一批、体育类本科批调档线出炉
四川省教育考试院
2023-07-21 21:02:26
阅读量:
四川省2023年普通高校招生艺术类本科第一批、体育类本科批已于7月21日开始录取。为方便广大考生和家长及时获悉录取信息,省教育考试院按非编导类和编导类发布了艺体类分学校、分专业类调档线。
责任编辑:王原贵
相关新闻
极目新闻