近日,北京大学北京国际数学研究中心推出的一道数学题,获得了数学爱好者的广泛关注。
出题的是北京大学数学科学学院研究员,第49届、第50届国际数学奥林匹克竞赛满分金牌得主韦东奕。
一起来看看“韦神”出的这道题吧!
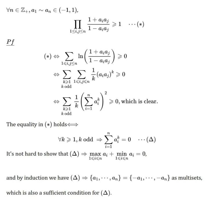
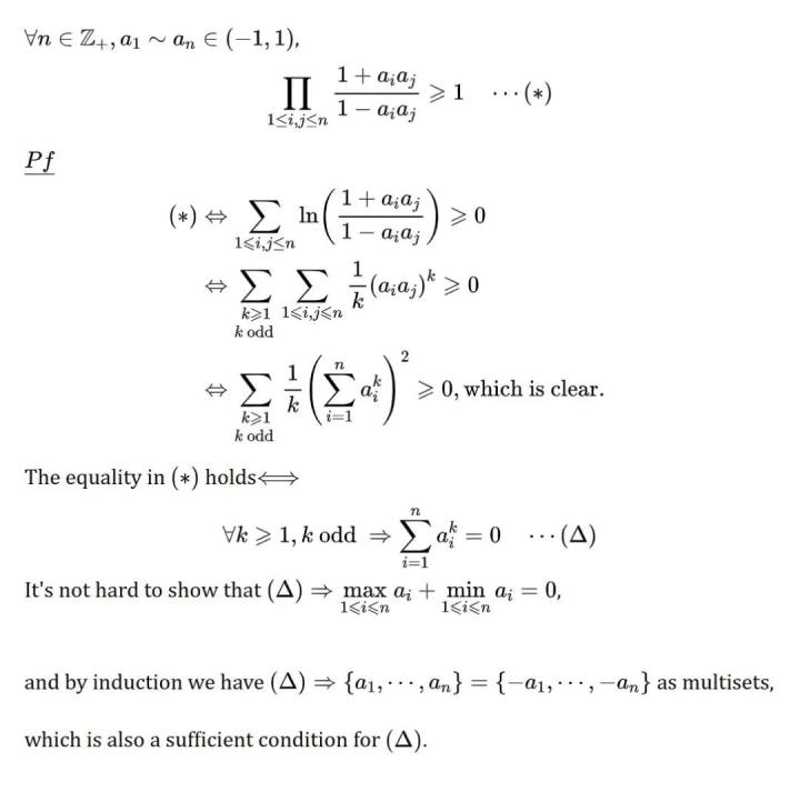
题目
先来了解一下韦老师的出题思路:题目主要考察幂级数和取对数的技巧。通过对不等式取对数,再用对数函数的Taylor级数,可以写成完全平方式求和的形式。注意这个不等式不能直接由n=2的情形推出。
截至目前,已有近百位读者提交了解答。出题人韦东奕从中挑选了三份作为“较好的解答举例”。据韦东奕介绍,本题的解答线索只有一个,因此他挑选出来的三份解答相似度高,均可以作为标准答案来使用。
特别是其中有一位初中二年级的同学,给出了简洁、完备的答案,令人欣喜。
较好的解答案例
解答1答题人来自国内某大学
解答2答题人来自国内某中学
解答3答题人来自海外某大学
小彩蛋
最近火爆全球的GPT-4,能不能解答韦东奕出的题目呢?
下面是北京国际数学研究中心老师们测试的结果。
图片来自于董彬老师的报告
在解答有挑战的数学问题上,人类大脑和AI表现有何差异?
中国科学院院士、北京大学数学科学学院教授、北京国际数学研究中心主任田刚说:目前看来,在“解答有挑战的数学问题”这个任务上,人类大脑具有优势。但是随着AI不断升级更新,这种优势能在多大程度上保持呢?年轻一代将肩负起探寻这一问题答案的重任。
网友评论
新闻多看点
“韦神”是谁?
2021年,“北大数学大神手提馒头矿泉水接受采访”冲上热搜。视频里,一名男生胳肢窝里夹着矿泉水,手里提着馒头,淡定地接受采访。
质朴的形象后面,其实隐藏着“数学大神”的身份,他是北京大学毕业生、现在北大任教的韦东奕。
韦东奕目前是北京大学数学科学学院助理教授,北大数学科学学院官网上有简单的介绍:
2014年获得了北大学士学位
2018年获得了北大博士学位
2017到2019年
在北京国际数学研究中心做博士后
2019年12月之后留校
担任助理教授
这意味着,他只用了八年就完成了本硕博的全部课程!
韦东奕痴迷数学,高中时参加第49届和第50届国际数学奥林匹克竞赛,分别获得满分冠军,顺利被保送到北京大学,被网友和同学们称为超脱外物的“韦神”。
他是山东人,1991年出生,父母都是山东建筑大学的教授,父亲是数学教授。
值得一提的是,韦东奕在网上走红后,有网友也指出,他的父亲——韦忠礼也是位学霸,是浙江东阳人。
橙柿互动曾联系过两位和他同学院的北大毕业生,其中一位说:
“北大几万学生走在校园里,你能一眼就认出韦神,因为无论春夏秋冬,他都拎着一个1.5L的矿泉水瓶,健步如飞。瓶子里是接的学校提供的温开水,听说有人问过他原因,回答是环保。
他是个很自律的人,经常看到他在食堂里吃着馒头,菜是豆腐等,比较清淡。他的成绩很好,一年奖学金是超十万的,但生活很朴素,衣服穿得简单,吃得也简单。
和同学相处,他很随和,你问他问题,从来都是知无不言言无不尽。有次我听他做讲座,和平时在校园碰到的他非常不一样,讲台上很有气场,神采奕奕。
要说天才的不同之处,他喜欢去别人的宿舍里看水表、电表。我们朋友见面可能从今天中午吃了啥开始聊起,他不太善于言辞,也不会拿个数学题去找别人,所以就去看水表、电表等,这可能是他与他人交流的方式之一。”










