澎湃新闻获悉,考古学家、湖南省博物馆原馆长高至喜,因病医治无效,于2023年4月21日逝世,享年91岁。高至喜先生是湖南文物考古事业的创始人之一,将一生奉献给了湖南的文物考古事业,为湖南文物考古事业的发展做出了卓越的贡献。
他曾自述:“一个偶然的机会,无心插柳,就决定了我这一辈子从事文物考古工作。”他曾发现炭河里遗址,找到四羊方尊的准确出土地,参与马王堆二、三号汉墓的发掘整理……这些经历串联起高至喜60年风风雨雨考古人生。
高至喜
高至喜(1932-2023),湖南桃江县人。北京大学结业,研究馆员,享受国务院政府特殊津贴专家,湖南省荣誉社会科学专家。多年从事田野考古发掘工作。1993年被聘为全国一级文物鉴定确认专家组基本成员,后成为国家文物鉴定委员会委员。曾任湖南省博物馆馆长,兼中国考古学会理事、湖南省考古学会理事长、湘鄂豫皖楚文化研究会副理事长等职。主持国家社科基金资助项目《长沙楚墓》《长沙汉墓》研究。编著有《楚文化的南渐》《楚文物图典》《长沙楚墓》等10余部;发表论文、考古报告和其他文章210余篇。
回忆往事,高至喜称自己是无心插柳进入考古行。1954年,当时文化部、中国科学院考古研究所、北京大学三家联合举办第三届考古工作人员训练班,在湖南报送的四个学员中有一名政审未能通过,省文化局领导可能考虑其“根正苗红”,又年轻上进,于是临时将其补上了。“一个偶然的机会,无心插柳,就决定了我这一辈子从事文物考古工作。60年的风风雨雨,既有深夜挑灯读书的艰辛、各种环境下身心的磨炼,也有重大考古发现激动人心的时刻,还有科研成果获奖的成功喜悦。”高至喜在一篇文章中自述。
1963年,在湖南省博物馆任职期间,高至喜通过村民上交的商代“癸”兽面纹提梁铜卣等文物,顺藤摸瓜,经过一系列文化调查,大胆提出:“宁乡黄材这一带地方,在殷周时代,很可能曾一度为南方一个政治、经济和文化的中心。”及至2000年代初,炭河里遗址经过数次大规模的考古发掘工作,取得了巨大的收获,学界一致认定“炭河里城址应该是一个区域青铜文化的中心聚落或都邑所在地”(《文物》2006年第6期),证实了高至喜在1963年提出的推断。炭河里城址后被批准为国家考古遗址公园。
四羊方尊
在其考古文博生涯中,另一件常常为人所道的大事是他确认了国宝四羊方尊的确切出土地。
出土于湖南的四羊方尊,被誉为“十大传世国宝”之一,现存国家博物馆。它有着传奇的发现经历,1937年湖南宁乡一位农人挖红薯土时意外发现“宝物”,后几经转手,直到解放后,湖南省文管会追查到四羊方尊下落,经修复后于1958年调拨给中国历史博物馆。四羊方尊的出土地一直被误传为是宁乡沩山观音庵,直到1963年,高至喜找到并确认了四羊方尊的确切出土地点。“当时盛传四羊方尊是在湖南省宁乡县沩山观音庵出土的。后来,我在宁乡月山挨家挨户去问,发现其实它出土于宁乡月山铺转耳仑。”高至喜此前接受媒体采访,回忆起这段往事,依然神采飞扬。
此外他还参与长沙马王堆二、三号汉墓的发掘整理工作;他研究南方商周铜铙改变了历史。
高至喜先生不仅将一生贡献给考古文博事业,其身上也闪现着老一辈学者对中国传承五千年历史文化的热爱。他到国外参加学术研讨会,看到国外的博物馆收藏着大量中国文物时有感而发:“看到祖国大量的珍宝流失海外,我心中很不是滋味,激起了对盗墓者、不法古董商人对祖国文物严重破坏的愤恨,同时也坚定了我努力从事商周青铜器和楚文化研究的决心。”
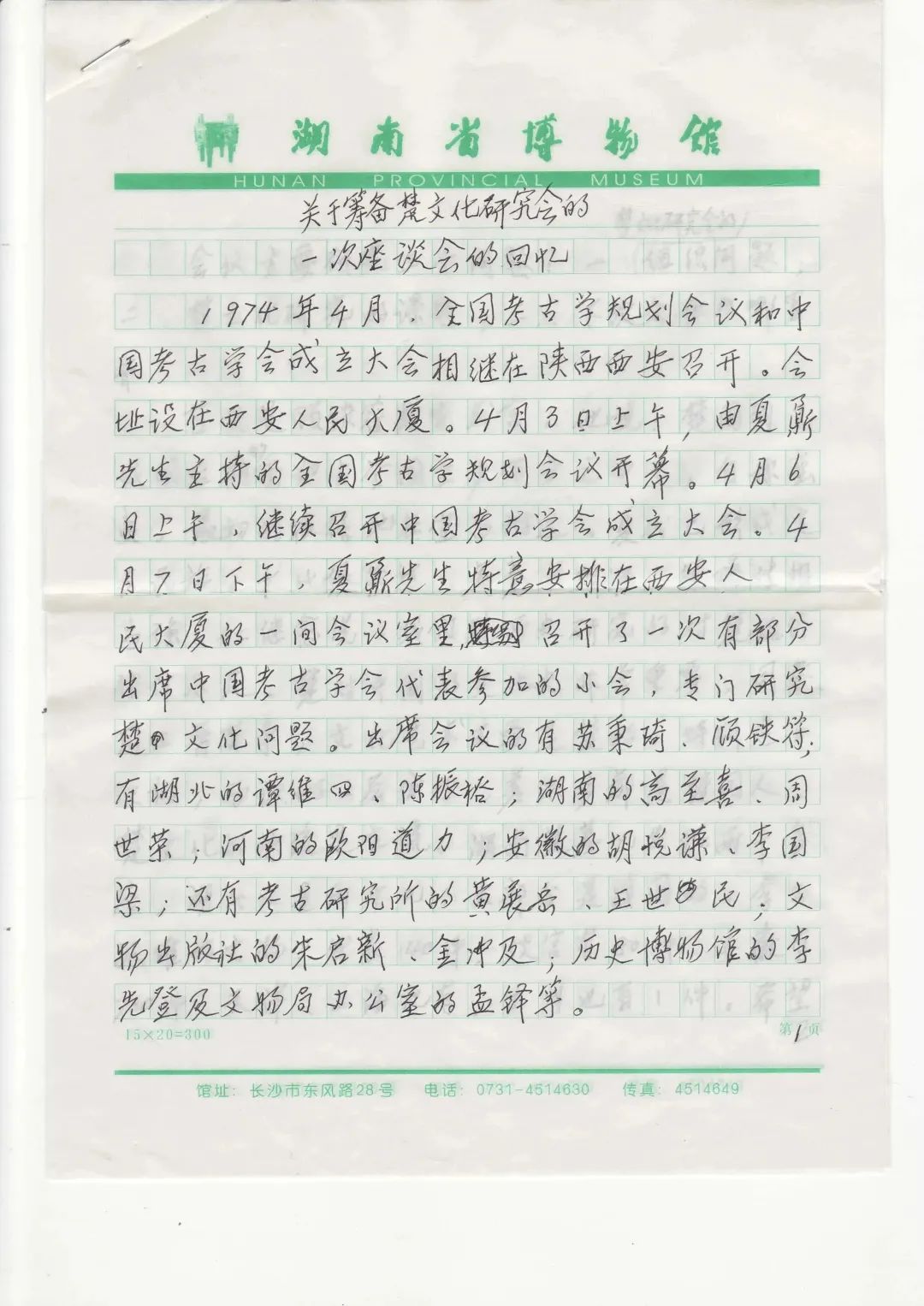
高至喜《关于筹备楚文化研究会的一次座谈会的回忆》手稿(图源:湖南考古)
高至喜《关于筹备楚文化研究会的一次座谈会的回忆》手稿(图源:湖南考古)
获悉高至喜先生辞世消息,全国各地文博工作者纷纷以各种形式表示悼念。原上海博物馆青铜研究部主任、研究员周亚发文悼念:“ 惊闻高至喜先生不幸去世,很是伤感,又一位倍受尊敬的老先生走了。初识高至喜先生,是在1990年由上海博物馆主办在太仓举行的中国古文字研究会年会上。会议期间,马承源先生鉴于当时文物、考古学界对南方地区出土青铜器的族属、性质、断代等问题争议颇多,召集了部分文物考古学界对青铜器研究颇有成就的先生商议如何将南方青铜器研究深入开展,当时参加商议的有中国社科院考古研究所的张长寿、陈公柔、王世民,湖南省博物馆的高至喜、熊传薪,江西省博物馆的彭适凡等先生。经过商议,大家决定组成一个“中国古代青铜器研究丛书编撰会”,不定期就青铜器研究中某个热点问题进行考察、讨论,并将各自的研究成果集结成书。当时决定编撰会的第一次活动,就是南方地区出土青铜器的研究……湖南是此次考察的最后一站,在高至喜和熊传薪两位馆长的精心安排下,调集了湖南各地出土的青铜器供大家学习和研究……”
“中国古代青铜器研究丛书编撰会”第一次考察湖南省博物馆时拍摄(周亚提供)
“从此之后,我几乎每次去湖南都会拜访高至喜先生,高先生退休后依然每日去博物馆继续他的研究工作,陆续出版了《长沙楚墓》、《楚文化的南渐》、《楚文化图典》等专著,令我十分敬佩。2007年,作为编撰会的活动之一,湖南省博物馆和上海博物馆联合举办了《湖南出土商代晚期至西周时期青铜器学术研讨会》,期间我和李伯谦、彭适凡等几位专家专程去宁乡等地考察,高至喜先生虽已高龄仍陪同前往,在宁县山上为我们指点四羊方尊和象纹大铙的出土地点,并详述周边环境和南方青铜器埋藏、的特殊形式。
2014年6月我应邀参加了湖南省博物馆举办的“皿方罍回归鉴赏研讨会”及湖南卫视举办的“完罍归湘”庆典晚会,这应该是我最后一次见到高至喜先生。之后我虽然数次前去长沙参加会议或商借文物,但都因行色匆匆,加之高先生年事已高,不忍叨扰,未能与先生见面请教,但仍陆续收到高先生的赐书。如今高至喜先生仙逝,以此谨致哀思!”
国家文物鉴定委员会委员、上海博物馆研究员许勇翔跟高至喜先生曾因工作原因多有接触,他发文悼念:上世纪九十年代全国一级文物确认工作时,我们有许多年一直在一起。留下了许多难忘的记忆,疫情的原因,也错失了许多相聚的机会。今悉西去,实感痛惜,望一路走好。
(本文参考《高至喜:我的考古传奇》一文)
